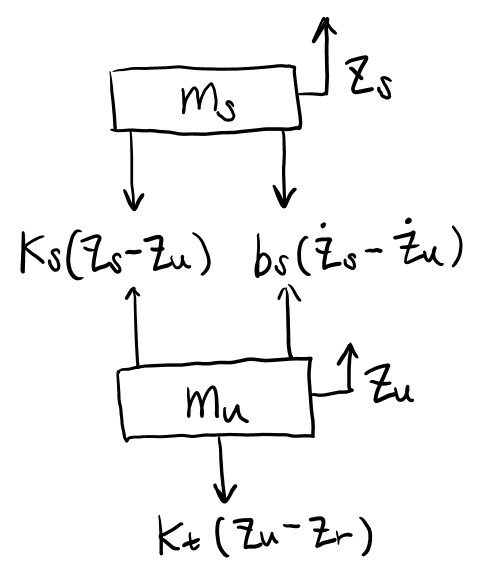
2자유도 1/4-Car Model (2-DOF Quarter-Car Model)

2자유도 1/4-Car Model은 바퀴 한 쪽에서 입력이 들어오는 것을 고려하기 위한 suspension model이다. 포장 도로를 다닐 경우, 보통 4 바퀴가 같은 상태에 놓인다. 포장 도로를 다니는 승용차 같은 경우 대부분 quarter car model을 고려하여 설계한다. SUV와 같이 비포장 도로에서 달리는 것을 고려할 경우 half-car 모델을 많이 사용한다.
sprung mass는 사람이 타고 있는 윗부분을 말하고 unsprung mass는 그 아래 하부 차체 구조 등을 말한다. sprung은 spring의 과거 분사로 sprung mass하면 위 아래로 많이 왔다 갔다하는 mass라 생각하면 된다. ms의 질량을 가지는 sprung mass와 탄성 계수 ks를 가지는 스프링과 감쇠 상수 bs를 가지는 댐퍼로 현가 장치가 구성된다. mu의 질량을 가지는 unsprung mass는 현가장치와 타이어 사이에 위치하고 타이어는 탄성 계수 kt를 가지는 스프링으로 표현된다. unsprung mass와 도로(road)의 시간에 따른 수직 변위는 각각 zu(t)와 zr(t)로 표현된다. fa는 제어기에서 원하는 성능을 내기 위해 힘을 가하는 것을 의미하며 active 제어기가 없는 경우 0이 된다.
다음의 설계 사양을 고려한다. 승차감은 수직 방향 가속도와 관계가 있으며 이를 최소화하는 게 좋다. 현가 장치의 변형을 최소화하는 것은 차의 compactness와 관련이 있으며 연비에 영향을 줄 수 있다.

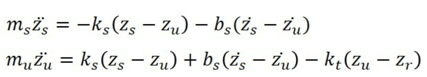
2자유도 1/4-Car Model을 활용해 차체의 수직 방향 운동을 방정식으로 나타낼 수 있다. sprung mass와 unsprung mass가 받는 힘을 고려하여 방정식을 완성한다.

감쇠력은 속도에 비례하고, 탄성력은 변위에 비례한다. 운동 방정식을 완성하면 다음과 같다.

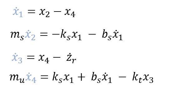
항을 전개하지 않고 x1-x4의 상태 변수를 다음과 같이 정의한다. 우리가 관심있는 변수는 상태 변수에 해당하는 변수다.

각 상태 변수를 바탕으로 4개의 방정식을 세운다.

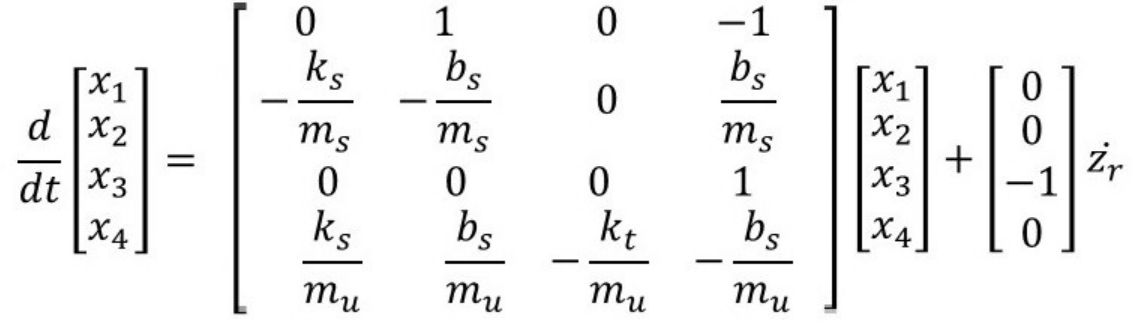
각 상태 변수의 미분값에 대해 표현하여 상태 방정식으로 표현한다.

'Control System' 카테고리의 다른 글
| [제어 시스템] eigenvalue로 poles 구하기 (0) | 2021.05.12 |
|---|---|
| [차량 동역학] 크루즈 컨트롤 제어기 설계하기 (0) | 2021.04.14 |