1. 크루즈 컨트롤이란
크루즈 컨트롤은 엔진의 속도를 이용하여 차량의 속도를 조절하는 장치를 말합니다. 크루즈 컨트롤 제어기의 기본 목표는 차량을 운전자가 설정한 속도(target speed)로 갈 수있게 하는 것입니다.
크루즈 컨트롤 제어기는 실제 차량의 속도와 target speed를 비교하고 속도 차이가 발생하면 스로틀 각도를 조절합니다. 스로틀 각도를 조절함으로써 엔진 토크를 조절하고 이를 통해 속도 차이를 줄이게 됩니다. 속도 차이와 스로틀 각도는 직접적인 관계를 가지지 않기 때문에 크루즈 컨트롤 제어기 설계를 대부분 2단계로 나누어 제어기를 설계합니다.
크루즈 컨트롤 제어기는 그림 1과 같이 상위 제어기와 하위 제어기로 구성합니다.

상위 제어기는 설정 속도와 차량의 속도 차이를 통해서 하위 제어기로 원하는 가속도 신호를 보내주고
하위 제어기는 상위 제어기로부터 원하는 가속도를 받아서 실제로 스로틀을 조절하는 액추에이터 제어합니다.
2. 상위제어기 설계
상위 제어기 설계 시 가정

크루즈 컨트롤 제어기의 상위 제어기를 설계할 때 복잡한 운동이 들어가는 차량 모델이 필요하지 않습니다. 입력 신호에 대해 출력신호가 단지 지연 만을 가지는 1차 지연 함수를 가정하여 차량을 단순화하여 상위 제어기를 설계합니다.
- 1차 지연함수?

time constant(시정수)는 외부 변화에 대해 물체 응답이 걸리는 시간으로 전체 변화에 63.2% 만큼 변화하는 데 걸리는 시간을 의미합니다.
3. 상위 제어기 설계를 위한 Dynamic Model
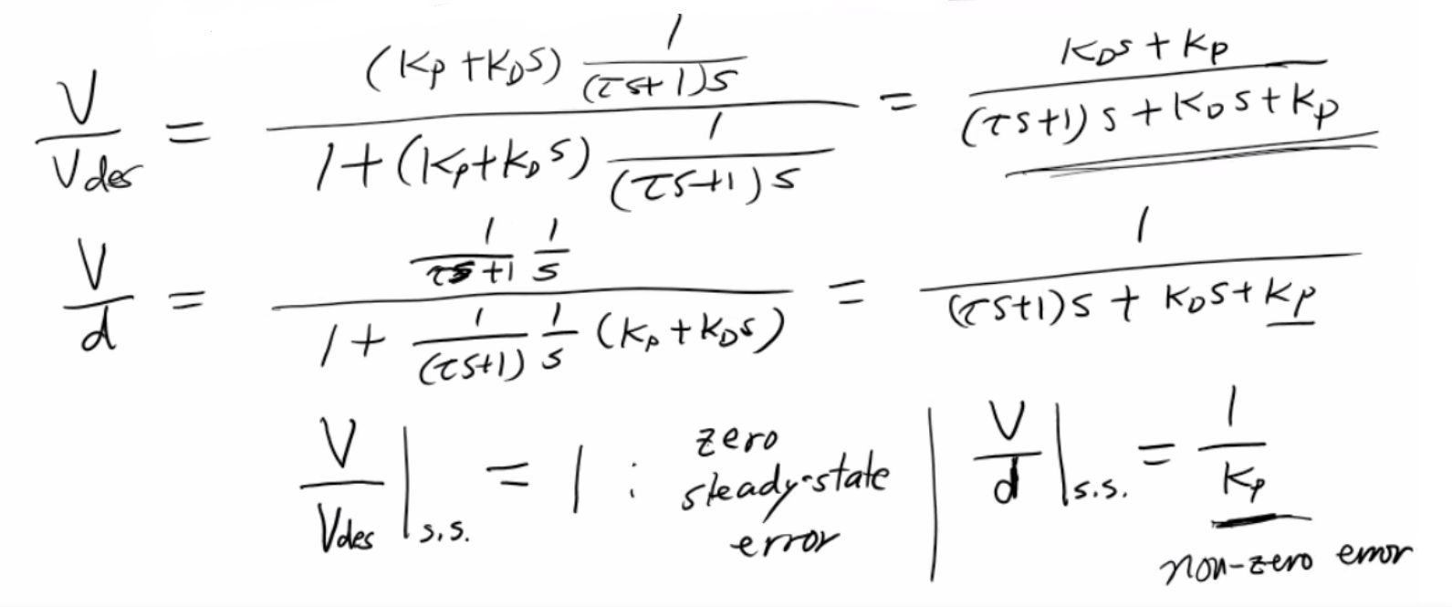
1) PD 제어기 설계


PD 제어기를 사용할 때 경사면 바람과 같은 disturbance에 의한 제어가 잘 안되는 것을 수식을 통해 확인할 수 있습니다. 1/Kp 만큼의 non-zero error가 발생합니다. 이러한 이유로 PD 제어기를 선호하지 않습니다.
시뮬레이션
시뮬링크를 이용하여 상위제어기가 PD 제어기인 크루즈 컨트롤 제어기를 시뮬레이션해봅니다. 시뮬레이션을 위해 몇가지를 가정합니다.
초기 속도는 60km/h 이며 사용자가 설정한 속도는 80km/h입니다. 도로의 기울기가 없는 평평한 도로를 가정합니다.
시뮬링크로 구성한 모델은 다음과 같습니다.

scope를 통해 관찰한 결과입니다.

초기 속도 60km/h에서 10초 정도 걸려 80km/h에 도달하였습니다.
다음은 경사면이 3도인 오르막길 입니다. 마찬가지로 초기 속도는 60km/h 이며 사용자가 설정한 속도는 80km/h입니다. 경사면 3도 일 때의 d 값은 0.51(=0.052g) 입니다.

scope를 통해 관찰한 결과입니다.

target speed인 80km/h에서 6km/h 적은 74km/h에서 멈췄습니다. 위의 수식을 통해 왜 이런 오차가 나왔는 지 알 수 있습니다.

이러한 이유로 PD 제어기 보다 PI 제어기를 선호합니다.
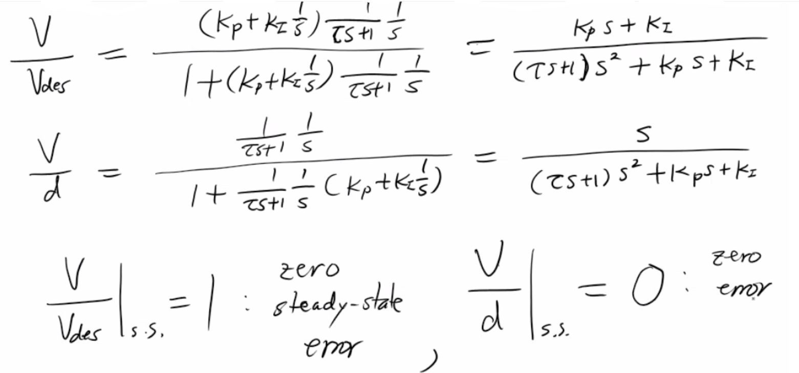
2) PI 제어기 설계


PD제어기와 달리 PI 제어기는 zero error가 나오는 것을 수식으로 확인할 수 있습니다.
시뮬레이션
시뮬링크를 이용하여 이번에는 상위제어기가 PI 제어기인 크루즈 컨트롤 제어기를 시뮬레이션해봅니다. 마찬가지로 시뮬레이션을 위해 다음과 같은 가정을 하였습니다.
초기 속도는 60km/h 이며 사용자가 설정한 속도는 80km/h입니다. 도로의 기울기가 없는 평평한 도로를 가정합니다.
시뮬링크로 구성한 모델은 다음과 같습니다.

scope를 통해 관찰한 결과입니다.

오버슈트가 발생하면서 속도가 83km/h까지 올라갔다가 80 km/h로 내려왔습니다.
다음은 경사면이 3도인 오르막길 입니다. 마찬가지로 초기 속도는 60km/h 이며 사용자가 설정한 속도는 80km/h입니다. 경사면 3도 일 때의 d 값은 0.51(=0.052g) 입니다.

scope를 통해 관찰한 결과입니다.

PD 제어기와 달리 PI 제어기에서는 언덕에서도 steady-state error가 발생하지 않은걸 확인할 수 있습니다.
'Control System' 카테고리의 다른 글
| [차량 동역학] 2-DOF Quarter-Car Model 수직 방향 운동 방정식 (0) | 2021.05.25 |
|---|---|
| [제어 시스템] eigenvalue로 poles 구하기 (0) | 2021.05.12 |