제어에서 상태 공간 표현식(State Space representation)이란 물리적 계를 입력, 출력, 상태 변수의 1차 미분 방정식으로 표현하는 수학적 모델입니다.
어떤 선형 시스템의 가장 일반적인 상태 공간 표현식은 아래와 같은 형태로 적을 수 있습니다.

A의 eigenvalue는 해당 시스템의 poles가 됩니다. 어떻게 A의 eigenvalue가 시스템의 poles과 동일한지 정리해보려 합니다.
1. 전달함수 구하기

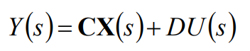
라플라스 변환하게 되면,

이 됩니다.

라플라스 변환을 하면

이 됩니다.
위에서 계산한 X(s)를 대입하면

따라서, 전달함수 G(s)는

가 됩니다.
G(s)에서 pole이 되는 부분은 빨간 박스 부분입니다.

빨간 박스 부분은 A의 eigenvalue와 동일한 값입니다.
따라서, A의 eigenvalue가 전달함수 G(s)의 극점(pole)이 됩니다.
2. 고유값 구하기
고유값, 고유벡터란
n x n 정방행렬(고유값, 고유벡터는 정방행렬에 대해서만 정의) A에 대해 Av = λv를 만족하는 0이 아닌 열벡터 v를 고유벡터 (eigenvector) , 상수 λ를 고유값 (eigenvale) 이라 정의합니다. 일부 경우를 제외하면 nxn 크기의 행렬은 n개의 고유값과 고유벡터를 갖습니다.

λ는 '행렬 A의 고유값', v는 '행렬 A의 λ에 대한 고유벡터'입니다.
고윳값 계산
Av = λv
Av - λv = 0 (0: 영행렬)
(A - λE)v = 0 (E: 단위 행렬)
고유벡터는 정의에 의해서 영벡터가 아닌 벡터여야 하므로 (A-λE)의 역행렬이 존재하지 않는 경우에만 존재할 수 있습니다. 따라서, 고유벡터가 존재하기 위해서는 일단은 det(A-λE) = 0 이어야 합니다.
det(A-λE) = 0 임을 통해 고윳값 λ를 계산할 수 있습니다.
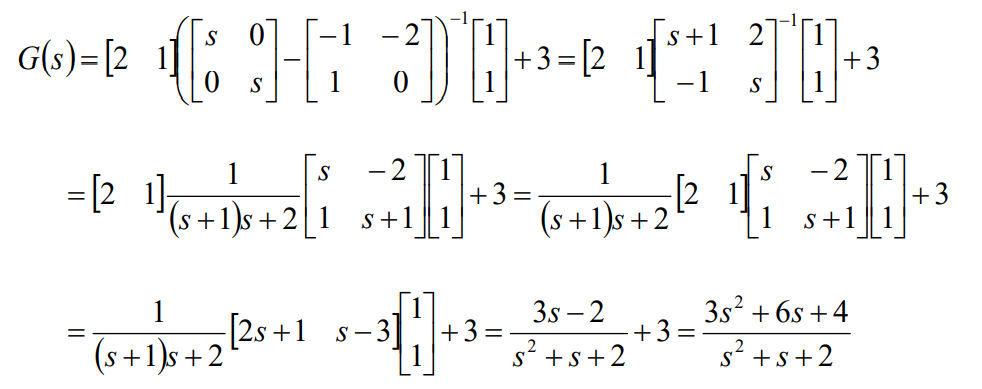
위에서 계산한 전달 함수는 다음과 같습니다.

det(A-λE)와 같은 형태입니다. (λ를 s에 대응) A의 eigenvalue가 전달함수 G(s)의 극점(pole)이 됨을 확인할 수 있습니다.
3. 예제 풀어보기

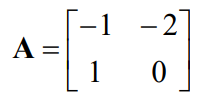
A, B, C, D 는 다음과 같이 주어졌습니다.

각 각을 대입하면 다음과 같이 유도됩니다.

이번에는 A의 eigenvalue를 구해봅니다.


det(A-λE) = -λ(-1-λ)+2= λ^2 +λ+ 2
G(s)의 극점과 동일한 -0.5 +1.3229i, -0.5 - 1.3229i를 가지는 걸 확인할 수 있습니다.
reference
'Control System' 카테고리의 다른 글
| [차량 동역학] 2-DOF Quarter-Car Model 수직 방향 운동 방정식 (0) | 2021.05.25 |
|---|---|
| [차량 동역학] 크루즈 컨트롤 제어기 설계하기 (0) | 2021.04.14 |